If you are searching about #16#TD forme quadratique partie3 - YouTube you've came to the right page. We have 6 Pictures about #16#TD forme quadratique partie3 - YouTube like Forms of a Quadratic - Math Tutoring & Exercises, Propriétés de la fonction quadratique sous forme générale - YouTube and also Propriétés de la fonction quadratique sous forme générale - YouTube. Here you go:
#16#TD Forme Quadratique Partie3 - YouTube

Forme Quadratique : Exercice De Mathématiques De LicenceMaths 2e/3e A
Formes Quadratiques - YouTube

Propriétés De La Forme Quadratique – GeoGebra

Propriétés De La Fonction Quadratique Sous Forme Générale - YouTube

forme fonction sous
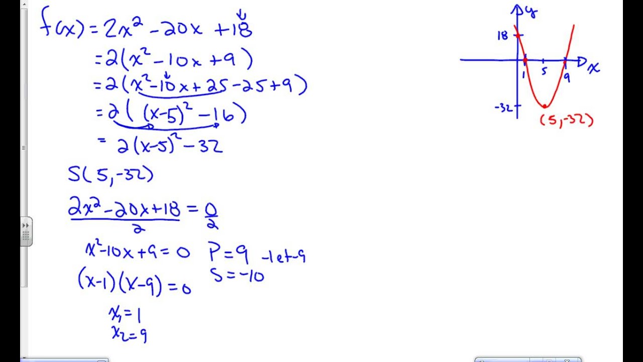
Forms Of A Quadratic - Math Tutoring & Exercises

quadratic
Propriétés de la forme quadratique – geogebra. Formes quadratiques. #16#td forme quadratique partie3
Aucun commentaire:
Enregistrer un commentaire